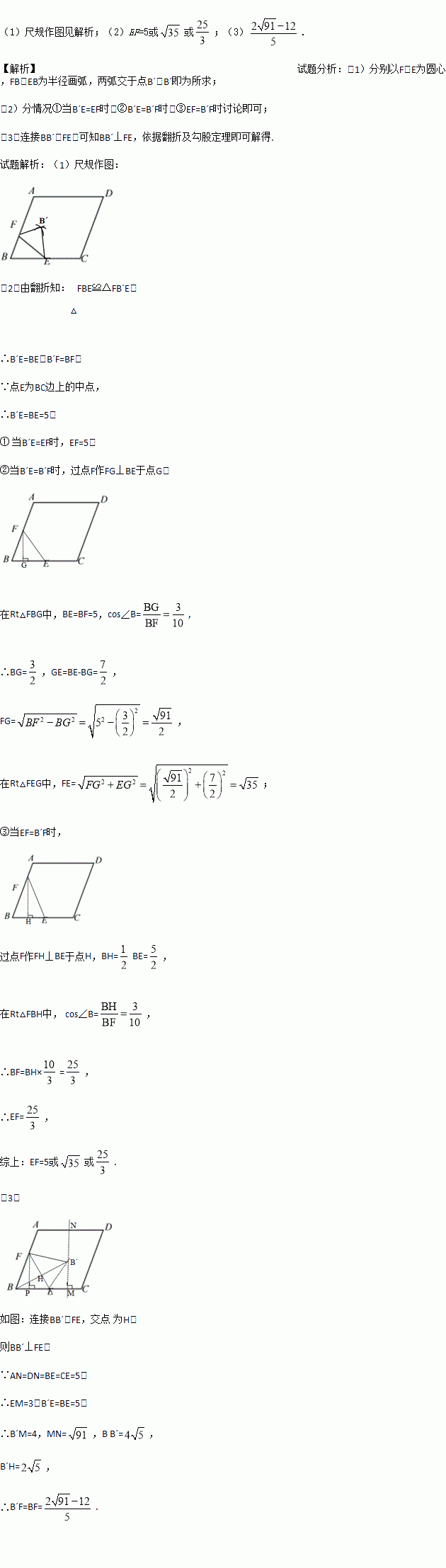
题目内容
已知,如图,在边长为10的菱形ABCD中,cos∠B=
,点E为BC边上的中点,点F为边AB边上一点,连接EF,过点B作EF的对称点B’,
(1)在图(1)中,用无刻度的直尺和圆规作出点B’(不写作法,保留痕迹);
(2)当△EFB’为等腰三角形时,求折痕EF的长度.
(3)当B’落在AD边的中垂线上时,求BF的长度.
![]()
练习册系列答案
相关题目
题目内容
已知,如图,在边长为10的菱形ABCD中,cos∠B=
,点E为BC边上的中点,点F为边AB边上一点,连接EF,过点B作EF的对称点B’,
(1)在图(1)中,用无刻度的直尺和圆规作出点B’(不写作法,保留痕迹);
(2)当△EFB’为等腰三角形时,求折痕EF的长度.
(3)当B’落在AD边的中垂线上时,求BF的长度.
![]()