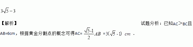
题目内容
已知线段AB=6cm,点C为AB的黄金分割点,且AC>BC,则AC=_____.
的相反数是___,绝对值是___.
若,则________
如图,直线y=kx+b交坐标轴于A(-3,0)、B(0,5)两点,则不等式-kx-b<0的解集为( )
A. x>-3 B. x<-3 C. x>3 D. x<3
关于x的一元二次方程x2+3x+m﹣1=0的两个实数根分别为x1、x2.
(1)求m的取值范围;
(2)若2(x1+x2)+x1x2+10=0,求m的值.
已知,则=_____.
已知△ABC∽△A1B1C1,且∠A=50°,∠B=95°,则∠C1等于( )
A. 50° B. 95° C. 35° D. 25°
如图,等边△ABC的边长为4,AD是BC边上的中线,F是AD边上的动点,E是AC边上一点,若AE=2,当EF+CF取得最小值时,则∠ECF的度数为( )
A. 15° B. 22.5° C. 30° D. 45°
【答案】
【解析】试题分析:先化简二次根式,然后合并同类二次根式即可.
试题解析:解:原式==.
【题型】解答题【结束】19