搜索
题目内容
解不等式(组):(1)3(x+2)-5x<-3;
(2)
的整数解。
试题答案
相关练习册答案
解:(1)去括号得3x+6-5x<-3移项合并同类项得-2x<-9
解得x>4.5.
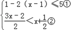
(2)
解得
,
即-1≤x<3;整数解为:﹣1,0,1,2.
练习册系列答案
尖子生课课练系列答案
七彩的假期生活暑假系列答案
蓝博士暑假作业甘肃少年儿童出版社系列答案
快乐暑假新疆美术摄影出版社系列答案
中考快递课课帮系列答案
名校之约暑假作业系列答案
课时练提速训练系列答案
暑假作业光明日报出版社系列答案
黄冈小状元解决问题天天练系列答案
黄冈小状元小秘招系列答案
相关题目
解不等式(组):
(1)
1
2
(2-x)>
1
4
(3-x)+
1
8
.
(2)
2x+3<9
-
3
2
x-1≤2
.
解不等式(组)或方程
(1)解不等式
x-3
2
-1≥
x-5
3
;
(2)解方程
2x
x
2
-4
+
x
x-2
=1.
(3)解不等组
x-2<6(x+3)
5(x-1)-6≥4(x+1).
.
解不等式(组),并把第(1)题的解集表示在数轴上.
(1)2x-3<5
(2)
2x-1>0
1
2
(x+4)<3
.
解不等式(组),并把解集表示在数轴上.
(1)
2x-1
3
-
5x+1
2
≤1
5x-1<3(x+1)
(2)2(4x+3)≤3(2x+5)
解不等式(组),并在数轴上表示其解集.
(1)
x
2
-
x+1
4
≤x
;
(2)
3x+5>-2x
x+4
2
≥2x-1
.
关 闭
试题分类
高中
数学
英语
物理
化学
生物
地理
初中
数学
英语
物理
化学
生物
地理
小学
数学
英语
其他
阅读理解答案
已回答习题
未回答习题
题目汇总
试卷汇总
练习册解析答案