题目内容
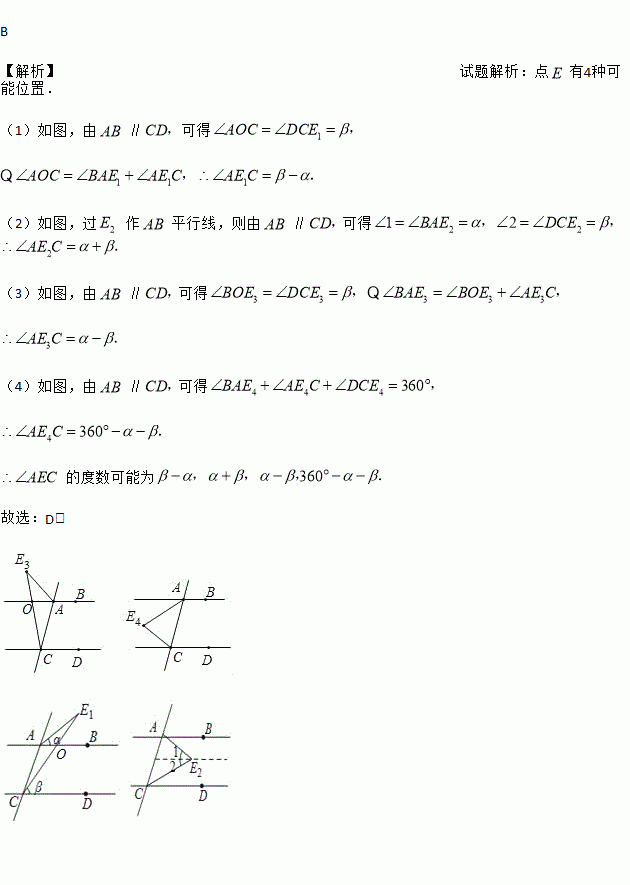
如图,已知直线AB、CD被直线AC所截,AB∥CD,E是平面内任意一点(点E不在直线AB、CD、AC上),设∠BAE=α,∠DCE=β.下列各式:①α+β,②α﹣β,③180°﹣α﹣β,,④360°﹣α﹣β,∠AEC的度数可能是( )
![]()
A. ①②③ B. ①②④ C. ①③④ D. ①②③④
练习册系列答案
相关题目
题目内容
如图,已知直线AB、CD被直线AC所截,AB∥CD,E是平面内任意一点(点E不在直线AB、CD、AC上),设∠BAE=α,∠DCE=β.下列各式:①α+β,②α﹣β,③180°﹣α﹣β,,④360°﹣α﹣β,∠AEC的度数可能是( )
![]()
A. ①②③ B. ①②④ C. ①③④ D. ①②③④