题目内容
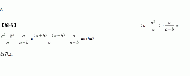
如果a+b=2,那么代数(a﹣)的值是( )
A. 2 B. ﹣2 C. D. ﹣
袋中装有六个黑球和n个白球,经过若干次试验发现,若从中任摸一个球,恰好是白球的概率为,白球个数大约是___
已知a-b=3,则 的值是( )
A. 4 B. 6 C. 9 D. 12
某快递公司的分拣工小王和小李,在分拣同一类物件时,小王分拣60个物件所用的时间与小李分拣45个物件所用的时间相同.已知小王每小时比小李多分拣8个物件,设小李每小时分拣x个物件,根据题意列出的方程是 .
当x=6,y=3时,代数式()的值是( )
A. 2 B. 3 C. 6 D. 9
已知x2﹣3x﹣4=0,则代数式的值是( )
A. 3 B. 2 C. D.
如图1,某社会实践活动小组实地测量两岸互相平行的一段河的宽度,在河的南岸边点A处,测得河的北岸边点B在其北偏东45°方向,然后向西走60m到达C点,测得点B在点C的北偏东60°方向,如图2.
(1)求∠CBA的度数.
(2)求出这段河的宽(结果保留根号).
如图,一个空心圆柱体,其主视图正确的是( )
A. B. C. D.
如图,四边形ABCD是边长为1的正方形,点E在AD边上运动,且不与点A和点D重合,连结CE,过点C作CF⊥CE交AB的延长线于点F,EF交BC于点G.
(1)求证:△CDE≌△CBF;
(2)当DE=时,求CG的长;
(3)连结AG,在点E运动过程中,四边形CEAG能否为平行四边形?若能,求出此时DE的长;若不能,说明理由.