题目内容
已知代数式A=,马虎同学在计算“A﹣B”时,不小心错看成“A+B”,得到的计算结果为
(1)求A﹣B的计算结果;
(2)若A﹣B的值与的取值无关,求的值.
如果|2x+5|=3,则 x= .
某超市计划购进一批甲、乙两种玩具,已知5件甲种玩具的进价与3件乙种玩具的进价的和为231元,2件甲种玩具的进价与3件乙种玩具的进价的和为141元.
(1)求每件甲种、乙种玩具的进价分别是多少元?
(2)如果购进甲种玩具有优惠,优惠方法是:购进甲种玩具超过20件,超出部分可以享受7折优惠,则当0<x≤20时,购进x(x>0)件甲种玩具需要 元;当x>20时,购进x(x>0)件甲种玩具需要 元(分别用x的整式表示).
(3)在(2)的条件下,超市决定在甲、乙两种玩具中选购其中一种,且数量超过20件,请你帮助超市判断购进哪种玩具省钱.
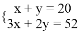
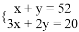
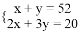
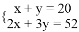
植树节这天有20名同学共种了52棵树苗,其中男生每人种树3棵,女生每人种树2棵.设男生有x人,女生有y人,根据题意,下列方程组正确的是( )
A. B. C. D.
方程2x+y=9的正整数解有( )组
A. 4 B. 3 C. 2 D. 1
按照下面的流程图进行计算,若输出的结果是5,则的所有非负值为____________.
代数式的次数为____________.
如图,在△ABC中,AB=AC,∠ABC=72°.
(1)用直尺和圆规作∠ABC的平分线BD交AC于点D(保留作图痕迹,不要求写作法);
(2)在(1)中作出∠ABC的平分线BD后,求∠BDC的度数.
计算﹣3+|﹣5|的结果是______.