题目内容
如图所示,一次函数y=kx+b的图象和反比例函数y=
的图象相交于A、B两点.
(1)利用图中条件.求反比例函数和一次函数的解析式;
(2)根据图象写出使一次函数值大于反比例函数值的 x的取值范围.
(2)根据图象写出使一次函数值大于反比例函数值的 x的取值范围.
解:(1)把x=-2,y=1代入y=
,得
∴m=-2.
∴反比例函数的解析式为y=
.
把x= 1,y=n代入y=
,得n=-2,
即B点的坐标为(1,-2).
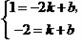
将点A、B的坐标代人y=kx+b,
得,
解这个方程组,得
∴ 一次函数的解析式为 y=-x-1.
(2)由图象和(1)知,反比例函数和一次函数图象的交点坐标为(-2,1),(1,-2),
即 x=-2或x=1时,一次函数和反比例函数的值相等,
由图象知当 x<-2 或0<x<1时,一次函数的值大于反比例函数的值.
∴m=-2.
∴反比例函数的解析式为y=
把x= 1,y=n代入y=
即B点的坐标为(1,-2).
将点A、B的坐标代人y=kx+b,
得,
∴ 一次函数的解析式为 y=-x-1.
(2)由图象和(1)知,反比例函数和一次函数图象的交点坐标为(-2,1),(1,-2),
即 x=-2或x=1时,一次函数和反比例函数的值相等,
由图象知当 x<-2 或0<x<1时,一次函数的值大于反比例函数的值.
练习册系列答案
相关题目