题目内容
如图,梯形ABCD中,AB∥CD,∠ABC=90°,AB=8,CD=6,BC=4,AB边上有一动点P(不与A、B重合),连接DP,作PQ⊥DP,使得PQ交射线BC于点E,设AP=x.(1)当x为何值时,△APD是等腰三角形;
(2)若设BE=y,求y关于x的函数关系式;
(3)若BC的长可以变化,是否存在点P,使得PQ经过点C?若不存在,请说明理由,若存在并直接写出当BC的长在什么范围内时,可以存在这样的点P,使得PQ经过点C.
【答案】分析:1、过D点作DH⊥AB于H,则四边形DHBC为矩形,在Rt△AHD中,由勾股定理可求得DH、AD、PH的值,若△ADP为等腰三角形,则分三种情况:①当AP=AD时,x=AP=AD,②当AD=PD时,有AH=PH,故x=AH+PH,③当AP=PD时,则在Rt△DPH中,由勾股定理可求得DP的值,有x=AP=DP.
2、易证:△DPH∽△PEB?
,即
,故可求得y与x的关系式.
3、利用△DPH∽△PEB,得出
=
,进而利用根的判别式和一元二次不等式解集得出即可.
解答:解:(1)过D点作DH⊥AB于H,则四边形DHBC为矩形,
∴DH=BC=4,HB=CD=6.
∴AH=2,AD=2
.
∵AP=x,
∴PH=x-2,
情况①:当AP=AD时,即x=2
.
情况②:当AD=PD时,则AH=PH.
∴2=x-2,解得x=4.
情况③:当AP=PD时,
则Rt△DPH中,x2=42+(x-2)2,解得x=5.
∵2<x<8,
∴当x为2
、4、5时,△APD是等腰三角形.
(2)∵∠DPE=∠DHP=90°,
∴∠DPH+∠EPB=∠DPH+∠HDP=90°.
∴∠HDP=∠EPB.
又∵∠DHP=∠B=90°,
∴△DPH∽△PEB.
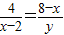
∴
,
∴
.
整理得:y=
(x-2)(8-x)=-
x2+
x-4.
(3)存在.
设BC=a,则由(2)得△DPH∽△PEB,
∴
=
,
∴y=
,
当y=a时,
(8-x)(x-2)=a2
x2-10x+(16+a2)=0,
∴△=100-4(16+a2),
∵△≥0,
∴100-64-4a2≥0,
4a2≤36,
又∵a>0,
∴a≤3,
∴0<a≤3,
∴满足0<BC≤3时,存在点P,使得PQ经过C.
点评:本题利用了梯形和矩形的性质,等腰三角形的性质,相似三角形的判定和性质,勾股定理,一元二次方程的根的判别式求解.
2、易证:△DPH∽△PEB?
3、利用△DPH∽△PEB,得出
解答:解:(1)过D点作DH⊥AB于H,则四边形DHBC为矩形,
∴DH=BC=4,HB=CD=6.
∴AH=2,AD=2
∵AP=x,
∴PH=x-2,
情况①:当AP=AD时,即x=2
情况②:当AD=PD时,则AH=PH.
∴2=x-2,解得x=4.
情况③:当AP=PD时,
则Rt△DPH中,x2=42+(x-2)2,解得x=5.
∵2<x<8,
∴当x为2
(2)∵∠DPE=∠DHP=90°,
∴∠DPH+∠EPB=∠DPH+∠HDP=90°.
∴∠HDP=∠EPB.
又∵∠DHP=∠B=90°,
∴△DPH∽△PEB.
∴
∴
整理得:y=
(3)存在.
设BC=a,则由(2)得△DPH∽△PEB,
∴
∴y=
当y=a时,
(8-x)(x-2)=a2
x2-10x+(16+a2)=0,
∴△=100-4(16+a2),
∵△≥0,
∴100-64-4a2≥0,
4a2≤36,
又∵a>0,
∴a≤3,
∴0<a≤3,
∴满足0<BC≤3时,存在点P,使得PQ经过C.
点评:本题利用了梯形和矩形的性质,等腰三角形的性质,相似三角形的判定和性质,勾股定理,一元二次方程的根的判别式求解.
练习册系列答案
相关题目
A、
| ||||
B、4
| ||||
C、
| ||||
D、4
|