题目内容
先化简,再求值:
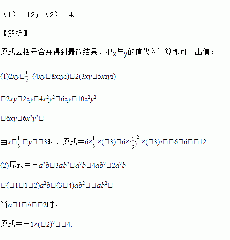
(1)2xy- (4xy-8x2y2)+2(3xy-5x2y2),其中x=,y=-3.
(2)-a2b+(3ab2-a2b)-2(2ab2-a2b),其中a=1,b=-2.
一辆汽车匀速通过某段公路,所需时间与行驶速度满足函数关系:,其图象为如图所示的一段曲线且端点为和.
求k和m的值;
若行驶速度不得超过,则汽车通过该路段最少需要多少时间?
某中学组织一批学生开展社会实践活动,原计划租用45座客车若干辆,但有15人没有座位;若租用同样数量的60座客车,则多出一辆车,且其余客车恰好坐满.已知45座客车的租金为每辆220元,60座客车的租金为每辆300元.
(1)这批学生有多少人?原计划租用45座客车多少辆?
(2)若租用同一种客车,且使每名学生都有座位,应该怎样租用才合算?
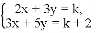
关于x,y的方程组的解x,y的和为12,则k的值为 ( )
A. 14 B. 10 C. 0 D. -14
先化简,再求值:已知a2﹣1=0,求(5a2+2a﹣1)﹣2(a+a2)的值.
若整式(8x2-6ax+14)-(8x2-6x+6)的值与x的取值无关,则a的值是________.
多项式与相加后,不含二次项,则常数的值是( )
A. B. C. D.
廊桥是我国古老的文化遗产如图,是某座抛物线型的廊桥示意图,已知抛物线的函数表达式为,为保护廊桥的安全,在该抛物线上距水面AB高为8米的点E,F处要安装两盏警示灯,则这两盏灯的水平距离EF是______米精确到1米
计算: ______ .