题目内容
一只小虫在数轴上先向右爬3个单位,再向左爬7个单位,正好停在-2的位置,则小虫的起始位置所表示的数是( )
A. -4 B. 4 C. 2 D. 0
的相反数是( )
A. -5 B. 5 C. D.
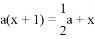
已知是关于的方程的解,则的值是( )
A. B. C. D.
在公式s= (a+b)h中,已知a=3,b=7,s=15,则h=__________,
甲、乙两人完成一项工作,甲独做需4小时完成,乙独做需6小时完成,甲、乙合作,需多少小时完成。 ( )
A. 2.4 B. 3.2 C. 5 D. 10
如图,已知反比例函数y1=与一次函数y2=k2x+b的图象交于点A(1,8)、B(﹣4,m).
(1)求k1、k2、b的值;
(2)求△AOB的面积;
(3)根据图象,直接写出当y1< y2时,x的取值范围.
已知抛物线p:y=ax2+bx+c的顶点为C,与x轴相交于A、B两点(点A在点B左侧),点C关于x轴的对称点为C′,我们称以A为顶点且过点C′,对称轴与y轴平行的抛物线为抛物线p的“梦之星”抛物线,直线AC′为抛物线p的“梦之星”直线.若一条抛物线的“梦之星”抛物线和“梦之星”直线分别是y=x2+2x+1和y=2x+2,则这条抛物线的解析式为____.
关于x的一元一次方程4x+m+1=2x﹣1的解是负数,求m的取值范围.
G20峰会来了,在全民的公益热潮中,杭州的志愿者们摩拳擦掌,想为世界展示一个美丽幸福文明的杭州.据统计,目前杭州市注册志愿者已达9.17×105人。而这个数字,还在不断地增加.请问近似数9.17×105的精确度是( )
A. 百分位 B. 个位 C. 千位 D. 十万位