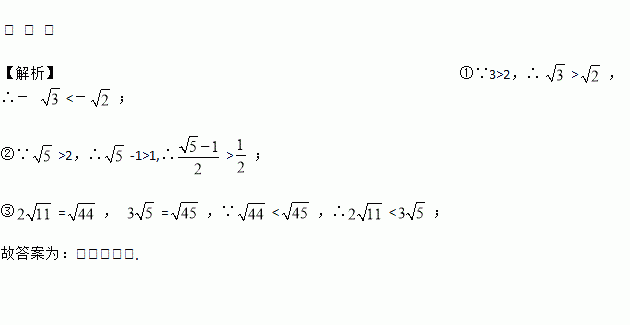
题目内容
比较下列实数的大小(填上>、<或=).
①-_____-;②_____;③______.
如图,PA,PB分别切⊙O于A,B两点,已知圆的半径为4,劣弧的度数为120°,Q是圆上的一动点,则PQ长的最大值是( )
A. 12 B. 12 C. 8 D. 4
(1)解方程: ; (2)解不等式组
下列地方银行的标志中,既不是轴对称图形,也不是中心对称图形的是 ( )
A. B. C. D.
计算
(1); (2)
估计+3的值( )
A. 在2和3之间 B. 在3和4之间 C. 在4和5之间 D. 在5和6之间
下列运算正确的是( )
A. B. C. D. =3
在直线l上依次摆放着七个正方形(如图所示)。已知斜放置的三个正方形的面积分别是1、2、3,正放置的四个正方形的面积依次是S1、S2、S3、S4,则S1+S2+S3+S4的值为( )
A. 6 B. 5 C. 4 D. 3
如图,在边长为1个单位长度的小正方形组成的网格中,给出了格点△ABC和△DEF(顶点为网格线的交点),以及过格点的直线l.
①将△ABC向右平移两个单位长度,再向下平移两个单位长度,画出平移后的三角形△A’B’C’;
②画出△DEF关于直线l对称的三角形△D’E’F’;
③填空:∠C+∠E= .