题目内容

如图所示,在直角坐标平面内,O为原点,点A的坐标为(10,0),点B在第一象限内,BO=5,sin∠BOA=
求:(1)点B的坐标;(2)cos∠BAO的值.

【答案】分析:作出恰当的辅助线,构成直角三角形,根据题中所给的条件,在直角三角形中解题,根据角的三角函数值与三角形边的关系,可求出各边的长,然后再代入三角函数进行求解.
解答:解:(1)如图,作BH⊥OA,垂足为H,
在Rt△OHB中,∵BO=5,sin∠BOA=
∴BH=3.
∴OH=4,
∴点B的坐标为(4,3);

(2)∵OA=10,OH=4,
∴AH=6,
在Rt△AHB中,
∵BH=3,
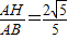
∴AB=3
∴cos∠BAO=
点评:考查综合应用解直角三角形、直角三角形性质,进行逻辑推理能力和运算能力,还考查解直角三角形的定义,由直角三角形已知元素求未知元素的过程,只要理解直角三角形中边角之间的关系即可求解.
练习册系列答案
相关题目

违法和不良信息举报电话:027-86699610 举报邮箱:58377363@163.com

精英家教网