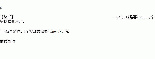
题目内容
买一个足球需要m元,买一个篮球需要n元,则买4个足球、7个篮球共需要( )
A. (7m+4n)元 B. 28mn元 C. (4m+7n)元 D. 11mn元
下列四个图形中,不能推出∠2与∠1相等的是
A. B. C. D.
如图,将半径为12的⊙O沿AB折叠,弧AB恰好经过与AB垂直的半径OC的中点D,则折痕AB长为( )
A. B. C. D. 12
若x的值满足2x2+3x+7=8,则4x2+6x﹣9=________ .
某商场的营业额2009年比2008年上升10%,2010年比2009年上升10%,而2011年和2012年连续两年平均每年比上一年降低10%,那么2012年的营业额比2008年的营业额( )
A. 降低了2% B. 没有变化 C. 上升了2% D. 降低了1.99%
表示“a与﹣3的和的4倍”的代数式为( )
A. a+(﹣3)×4 B. a﹣(﹣3)×4 C. 4[a+(﹣3)] D. 4(a+3)
已知:如图,AD∥BC,,平分,平分.
求证:AF∥EC.
下列各数中, 无理数是( )
A. B. 3.14 C. D.
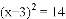
一元二次方程配方后可变形为( )