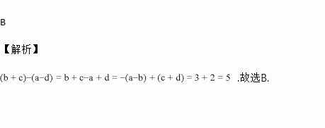
题目内容
已知a-b=-3,c+d=2,则(b+c)-(a-d)的值为( )
A. 1 B. 5 C. D.
一次函数y=2x-5的图象不经过的象限是( )
A. 第一象限 B. 第二象限 C. 第三象限 D. 第四象限
下列命题中,正确的个数是 ( )
①若三条线段的比为1:1:,则它们组成一个等腰直角三角形;②两条对角线相等的平行四边形是矩形;③对角线互相垂直的四边形是菱形;④有两个角相等的梯形是等腰梯形;⑤一条直线与矩形的一组对边相交,必分矩形为两个直角梯形。
A. 2个 B. 3个 C. 4个 D. 5个
如果a是一元二次方程x2-3x-3=0的一个解,那么代数式2a2-6a-8的值为__________.
已知:a+b=m,ab=-4, 化简(a-2)(b-2)的结果是( )
A. -2 m B. 2 m C. 2 m-8 D. 6
合并同类项:
(1); (2)7m2n-3mn2+5m2n+2mn2;
(3); (4);
已知2x6y2和﹣是同类项,那么2m+n的值是( )
A. 2 B. 4 C. 6 D. 5
若2a与1﹣a互为相反数,则a=________.
已知关于x的方程与=3x﹣2的解互为相反数,求m的值.