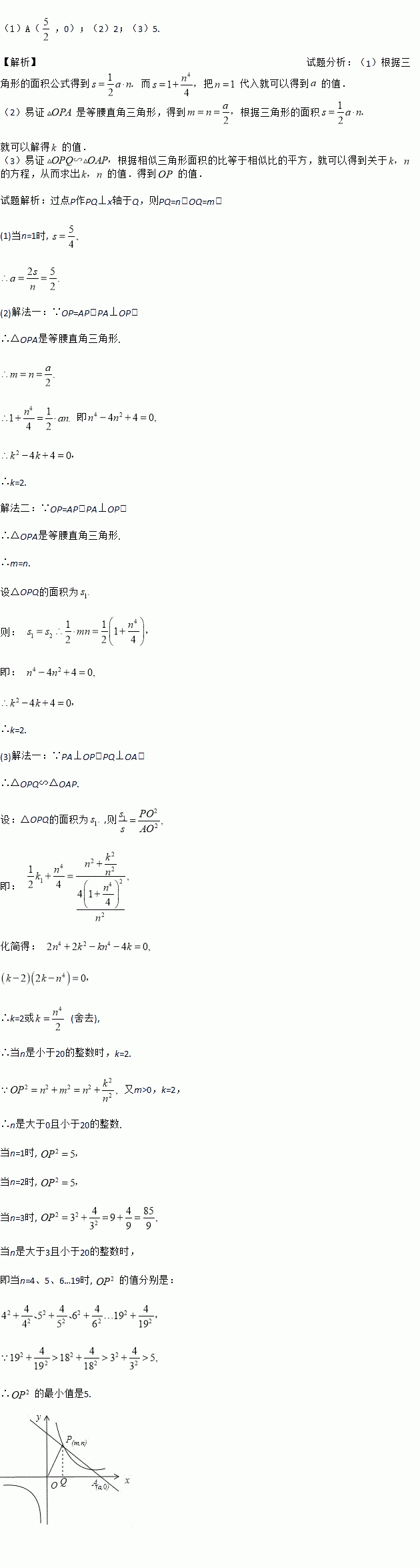
题目内容

已知:O是坐标原点,P(m,n)(m>0)是函数y=(k>0)上的点,过点P作直线PA⊥OP于P,直线PA与x轴的正半轴交于点A(a,0)(a>m).设△OPA的面积为s,且s=1+

(1)当n=1时,求点A的坐标;

(2)若OP=AP,求k的值;

(3)设n是小于20的整数,且k≠,求OP2的最小值.

(1)A(,0);(2)2;(3)5. 【解析】试题分析:(1)根据三角形的面积公式得到 而 把代入就可以得到的值. (2)易证是等腰直角三角形,得到 根据三角形的面积 就可以解得的值. (3)易证 根据相似三角形面积的比等于相似比的平方,就可以得到关于的方程,从而求出的值.得到的值. 试题解析:过点P作PQ⊥x轴于Q,则PQ=n,OQ=m, (1)当n=1时, ...
练习册系列答案
相关题目

违法和不良信息举报电话:027-86699610 举报邮箱:58377363@163.com

精英家教网