题目内容
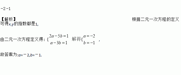
若2x2a-5b+ya-3b=0是二元一次方程,则a=______,b=______.
下列各式中正确的是( )
A. 若a>b,则a﹣1<b﹣1 B. 若a>b,则a2>b2
C. 若a>b,且c≠0,则ac>bc D. 若>,则a>b
下列说法中不正确的是( )
A. 当,点P()在第四象限.
B. 在y轴上的点,其横坐标都为0.
C. 把一个图形平移到一个确定的位置,其大小和形状都不变.
D. 坐标平面上的点都可以用有序数对来表示.
不等式组 的解集是x>2,则m的取值范围是 ( )
A. m≤2 B. m≤1 C. m≥2 D. m≥1
解方程组
(1)
(2)
把方程写成用含x的代数式表示y的形式,正确的是( )
A. B. C. D.
方程3x+y=7的正整数解的个数是( )
A. 1个 B. 2个 C. 3个 D. 4个
在等式y=x2+mx+n中,当x=2时,y=5;当x=-3时,y=-5,则当x=3时y的值是( )
A. 23 B. -13 C. -5 D. 13
解不等式组 请结合题意填空,完成本题的解答:
(1)解不等式①,得__________;
(2)解不等式②,得__________;
(3)把不等式①和②的解集在数轴上表示出来;
(4)原不等式组的解集为__________.