搜索
题目内容
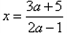
能否从等式
中得到
为什么?反过来,能否从
得到
,为什么?
试题答案
相关练习册答案
解:从等式
不一定能得到
,根据等式性质2,等式两边不能同除以0,
当
时, 即
根据等式性质 2,能得到
.
反过来,由
能得到
,因为
成立隐含着
,
根据等式的性质2两边都乘以
,就得到
.
练习册系列答案
1加1阅读好卷系列答案
专项复习训练系列答案
初中语文教与学阅读系列答案
阅读快车系列答案
完形填空与阅读理解周秘计划系列答案
英语阅读理解150篇系列答案
奔腾英语系列答案
标准阅读系列答案
53English系列答案
考纲强化阅读系列答案
相关题目
16、图中各个圆圈内分别填上2003,2004,2005,2006,2007,2008六个数,采取如下步骤:将用线段连接的任意相邻的一对数减去同样的数(各次所减的数不必相等).问:
(1)能否从图一得到图二,若能,写出变化过程;若不能,请说明理由.
(2)能否从图一得到图三,请写出你的的推理过程.
图中各个圆圈内分别填上2003,2004,2005,2006,2007,2008六个数,采取如下步骤:将用线段连接的任意相邻的一对数减去同样的数(各次所减的数不必相等).问:
(1)能否从图一得到图二,若能,写出变化过程;若不能,请说明理由.
(2)能否从图一得到图三,请写出你的推理过程.
图中各个圆圈内分别填上2003,2004,2005,2006,2007,2008六个数,采取如下步骤:将用线段连接的任意相邻的一对数减去同样的数(各次所减的数不必相等).问:
(1)能否从图一得到图二,若能,写出变化过程;若不能,请说明理由.
(2)能否从图一得到图三,请写出你的推理过程.
观察图形,你能从图中得到什么信息?你能否利用这个信息求得该直线的函数关系式?
关 闭
试题分类
高中
数学
英语
物理
化学
生物
地理
初中
数学
英语
物理
化学
生物
地理
小学
数学
英语
其他
阅读理解答案
已回答习题
未回答习题
题目汇总
试卷汇总
练习册解析答案