题目内容
若一个正多边形的内角和是其外角和的倍,则这个多边形的边数是______.
当试验的所有可能结果不是有限个,或各种可能结果发生的可能性不相等时,求(估计)概率可以( )
A. 用列举法 B. 用列表法
C. 用树形图法 D. 通过统计频率估计
已知平面直角坐标系中,△ABC的三个顶点的坐标分别为A(2,2),B(1,﹣1),C(3,0).
(1)在图1中,画出以点O为位似中心,放大△ABC到原来的2倍的△A1B1C1;
(2)若P(a,b)是AB边上一点,平移△ABC之后,点P的对应点P'的坐标是(a+3,b﹣2),在图2中画出平移后的△A2B2C2.
已知一元二次方程x2+kx-3=0有一个根为1,则k的值为( )
A. ?2 B. 2 C. ?4 D. 4
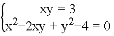
解方程组: .
反比例函数y=的图象经过点(1,6)和(m,﹣3),则m=_____.
若x>y,则下列式子中错误的是( )
A. x﹣3>y﹣3 B. x+3>y+3 C. ﹣3x>﹣3y D. >
将一张长方形纸片按如图所示的方式进行折叠,其中BC,BD为折痕,则∠BCD的度数为_____.
在国家政策的宏观调控下,某市的商品房成交均价由今年月份的元下降到月份的元,则、两月平均每月降价的百分率是________.