题目内容
设a=,a在两个相邻整数之间,则这两个整数是( )
A. 1和2 B. 2和3 C. 3和4 D. 4和5
根据下面对话,可知懒羊羊所买的笔和笔记本的;
价格分别为( )
喜羊羊:懒羊羊,你上周买的笔和笔记本的价格是多少啊?
懒羊羊:哦,我忘了,只记得先后买了两次,第一次买了5支笔和10本笔记本共花了42元钱,第二次买了10支笔和5本笔记本共花了30元钱。
A. 0.8元/支,2.6元/本 B. 0.8元/支,3.6元/本
C. 1.2元/支,3.6元/本 D. 1.6元/支,3.2元/本
如图是某单元楼居民六月份的用电(单位:度)情况,则关于用电量描述不正确的是( )
A. 众数为30 B. 中位数为30 C. 平均数为24 D. 方差为84
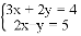
解方程组:(1) ;(2)
若与是同类项,则( )
A. B. C. D.
在给出的一组数0,π,,3.14,,中,无理数有( )
A. 1个 B. 2个 C. 3个 D. 5个
如图,⊙O的直径AB=4,C为圆周上一点,AC=2,过点C作⊙O的切线l,过点B作l的垂线BD,垂足为D,BD与⊙O交于点 E.
(1). (3分)求∠AEC的度数;
(2). (3分)求证:四边形OBEC是菱形.
下列事件为不可能事件的是( ).
A. 某射击运动员射击一次,命中靶心
B. 掷一次骰子,向上的一面是5点
C. 找到一个三角形,其内角和为360°
D. 经过城市某一有交通信号灯的路口,遇到红灯
(1)计算:
(2) 解不等式组: