题目内容
计算:
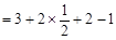
.
解:原式
…………………………………………………(4分)
………………………………………………………(5分)
. ………………………………………………………(6分)
解析
练习册系列答案
相关题目
题目内容
计算:
.
解:原式
…………………………………………………(4分)
………………………………………………………(5分)
. ………………………………………………………(6分)
解析