题目内容
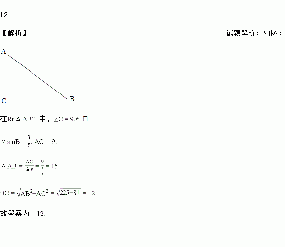
在Rt△ABC中,∠C=90°,AC=9,sinB=,则BC=____.
如图,点A为∠α边上任意一点,作AC⊥BC于点C,CD⊥AB于点D,下列用线段比表示cosα的值,错误的是( )
A. B. C. D.
如图是百度地图的一部分(比例尺1∶4000000).若测量杭州到嘉兴的图上距离是4 cm,则杭州到嘉兴的实际距离约为____km.
已知甲、乙两地相距20千米,汽车从甲地匀速行驶到乙地,则汽车行驶时间t(单位:小时)关于行驶速度v(单位:千米/小时)的函数关系式是( )
A. t=20v B. t= C. t= D. t=
解直角三角形的条件是必须知道除直角外的___个元素且至少有一个是___.
在Rt△ABC中,∠C=90°,若a=,b=,则∠A=_____,∠B=_____,c=_________.
函数y=中,自变量x的取值范围是_____
观察下面折线图,回答问题:
(1) _________________组的数据的极差较大;
(2) _________________组的数据的方差较大.
边长为1的正的顶点在原点,点在轴负半轴上,正方形边长为2,点在轴正半轴上,动点从点出发,以每秒1个单位的速度沿着的边按逆时针方向运动,动点从点出发,以每秒1个单位的速度沿着正方形的边也按逆时针方向运动,点比点迟1秒出发,则点运动2016秒后,则的值是___________.