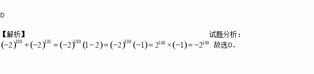
题目内容
计算:(-2)100+(-2)101的是( )
A. 2100 B. -1 C. -2 D. -2100
练习册系列答案
相关题目
股民小万上周五以每股13元的价格买进某种股票10000股,该股票这周内与前一天相比的涨跌情况如下表(单位:元):
星 期 | 一 | 二 | 三 | 四 | 五 |
每股涨跌 | + 0.6 | - 0.4 | - 0.2 | + 0.5 | + 0.3 |
(说明:股市六日停盘不交易)
(1)本周内哪一天把股票抛出比较合算?为什么?
(2)以上周末作为0点,用折线统计图表示本周股市情况.
(3)已知小万买进股票时付了3‰的手续费,卖出时需付成交额3‰的手续费和2‰的交易税,如果小万在星期五收盘前将全部股票卖出,他的收益情况如何?
![]()