(2x+1)(2x-1)等于( )

A. 4x2-1 B. 2x2-1 C. x2-1 D. 2x2+1

A 【解析】根据平方差公式可得:(2x+1)(2x-1)=4x2-1,故选A.

下列式子是分式的是( )

A. B. C. +y D.

B 【解析】根据分式的定义——分母中含有字母的式子,易得B.

已知x=1时,分式无意义,x=4时分式的值为0,求a+b的值.

-1 【解析】根据当x=1时,分式无意义,可得;根据当x=4时,分式的值为0,可得,即可求出a、b的值,最后代入求值即可. 【解析】 ∵x=1时, 无意义, ∴1-a=0, ∴a=1, ∵x=4时, =0, ∴4+2b=0, ∴b=-2, ∴a+b=1+(-2)=-1.

已知.

(1)化简A;

(2)当满足不等式组,且为整数时,求A的值.

(1);(2)1 【解析】试题分析:首先将分式的分子和分母进行因式分解,然后进行约分,最后根据同分母的分式减法法则得出化简的答案;根据题意求出不等式组的整数解,然后根据分式的性质求出x的值,将x的值代入化简后的式子进行计算. 试题解析:(1)原式==== (2)不等式组的解集为1≤x<3 ∵x为整数 ∴x=1或2 ∵A=∴x-1≠0 即x≠1 ∴x=2 当x=2时,原...

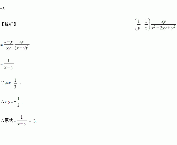
计算: =_____.

【解析】因为-=-=,故答案为: .

已知:如图,在Rt△ABC中,∠ACB=90°,∠A<∠B,CM是斜边AB上的中线,将△ACM沿直线CM折叠,点A落在点D处,如果CD恰好与AB垂直,那么∠A的度数是( )

A.30° B.40° C.50° D.60°

A. 【解析】 试题解析:如图, ∵CM是斜边AB上的中线, ∴CM=AM=AB, ∴∠A=∠MCA(设为α); 由翻折变换的性质得:∠DCM=∠MCA=α; ∵CD⊥AB, ∴∠DCA+∠A=90°, 即3α=90°, ∴∠A=α=30°. 故选A.

违法和不良信息举报电话:027-86699610 举报邮箱:58377363@163.com

精英家教网