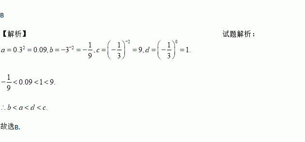
题目内容
若, , , ,则( ).
A. B. C. D.
有甲、乙、丙三种商品,如果购甲3件,乙2件,丙1件共需315元钱,购甲1件,乙2件,丙3件共需285元钱,那么购甲、乙、丙三种商品各一件共需( )
A. 50元 B. 100元 C. 150元 D. 200元
如图,我国年税收收入及其增长速度的不完整统计图请你根据图中已有信息,解答下列问题:
这5年中,哪一年至哪一年的年税收收入增长率持续上升?
求出2008年我国的年税收收入精确到1亿元
2x3·(-x)2-(-x2)2·(-3x).
已知27m-1÷32m=27,则m=___________.
七年级下学期数学教材第155页的问题3:某地区有500万电视观众,要想了解他们对新闻、体育、动画、娱乐、戏曲五类节目的喜爱情况,抽取一个容量为1000的样本进行调查.小波同学根据各年龄段实际人口比例分配抽取的人数制成如下条形图 ;
请你帮助小波再制作一个反映该地区实际人口比例情况的扇形图,并写出每一部分扇形圆心角的度数.
(7分)某班同学响应“阳光体育运动”号召,利用课外时间积极参加体育锻炼,每位同学从长跑、铅球、立定跳远、篮球定时定点投篮中任选一项进行训练,训练后进行了测试,现将项目选择情况及训练后篮球定时定点投篮进球数进行整理,作出了如下统计图表:
请你根据图表中的信息回答下列问题:
(1)训练后篮球定时定点投篮人均进球数为 个;
(2)选择长跑训练的人数占全班人数的百分比是 ,该班共有学生 人;
(3)根据测试数据,参加篮球定时定点投篮的学生训练后比训练前人均进球数增加了25%,求参加训练之前的人均进球类数.
将100个数据分成8个组,如下表:
组号
1
2
3
4
5
6
7
8
频树
11
14
12
13
x
10
则第六组的频数为
A、12 B、13 C、14 D、15
定义:平面内的直线l1与l2相交于点O,对于该平面内任意一点M,点M到直线l1,l2的距离分别为a,b,则称有序非负实数对(a,b)是点M的“距离坐标”.根据上述定义,“距离坐标”为(2,3)的点的个数是( )
A. 2 B. 1
C. 4 D. 3