题目内容
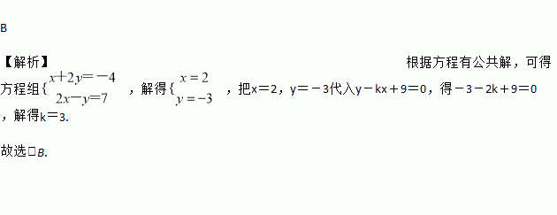
如果方程x+2y=-4,2x-y=7,y-kx+9=0有公共解,则k的解是( )
A. -3 B. 3 C. 6 D. -6
下列运用等式的基本性质的变形不正确的是( )
A. 若x=y,则x-a=y-a B. 若x-y=0,则-x=-y C. 若x=-y,则-x-5=y-5 D. 若x=1,则x=
若是关于a,b的二元一次方程ax+ay-b=7的一个解,则代数式x2+2xy+y2-1的值是_________.
若x,y是方程组的解,且x,y,a都是正整数.①当a≤6时,方程组的解是________;②满足条件的所有解的个数是________.
已知(n-1)x|n|-2ym-2 018=0是关于x,y的二元一次方程,则nm=________.
下列方程组中,是二元一次方程组的是( )
A. B. C. D.
个连续自然数的和小于,这样的自然数共有( )
A. 组 B. 组 C. 组 D. 组
在平面内用有序数对可表示物体的位置, 你还能用其他类似的方法来表示物体的位置吗?请结合图形说明.
若关于x的一元二次方程(m﹣2)x2+3x+m2﹣3m+2=0的常数项为0,则m等于( )
A. 0 B. 1 C. 2 D. 1或2