题目内容
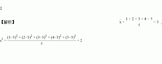
数据1、2、3、4、5的方差是_______.
已知:如图,在△AOB和△COD中,OA=OB,OC=OD,∠AOB=∠COD=50°,
求证:①AC=BD;②∠APB=50°.
直角三角形斜边上的高与中线分别是5和7,则它的面积是 ________.
已知,如图1,△ABC中,BA=BC,D是平面内不与A、B、C重合的任意一点,∠ABC=∠DBE,BD=BE.
(1)求证:△ABD≌△CBE;
(2)如图2,当点D是△ABC的外接圆圆心时,请判断四边形BDCE的形状,并证明你的结论.
如图,在△ABC中,点D、E分别在AB、AC边上,DE∥BC,若AD:DB=1:2,AE=2,则AC=
在平面直角坐标系中,将二次函数y=2x2的图象向上平移2个单位,所得图象的解析式为( )
A. y=2x2﹣2 B. y=2x2+2 C. y=2(x﹣2)2 D. y=2(x+2)2
如图,在△ABC中,∠C=90°,点O在AC上,以OA为半径的⊙O交AB于点D,BD的垂直平分线交BC于点E,交BD于点F,连接DE.
(1)判断直线DE与⊙O的位置关系,并说明理由;
(2)若AC=6,BC=8,OA=2,求线段DE的长.
已知⊙O的半径为3,圆心O到直线L的距离为2,则直线L与⊙O的位置关系是( )
A. 相交 B. 相切 C. 相离 D. 不能确定
如果数轴上的点A对应有理数为-2,那么与A点相距3个单位长度的点所对应的有理数为___________。