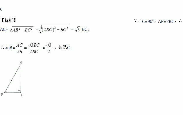
题目内容
如图,在Rt△ABC中,∠C=90°,AB=2BC,则sinB的值为( )
A.
B.
C.
D. 1
练习册系列答案
相关题目
下表记录了甲、乙、丙、丁四名运动员参加男子跳高选拔赛成绩的平均数x与方差S2:
甲 | 乙 | 丙 | 丁 | |
平均数 | 175 | 173 | 175 | 174 |
方差S2(cm2) | 3.5 | 3.5 | 12.5 | 15 |
根据表中数据,要从中选择一名成绩好又发挥稳定的运动员参加比赛,应该选择( )
A. 甲 B. 乙 C. 丙 D. 丁