题目内容
如图所示,已知抛物线y=x2-1与x轴交于A、B两点,与y轴交于点C.(1)求A、B、C三点的坐标;
(2)过点A作AP∥CB交抛物线于点P,求四边形ACBP的面积;
(3)在x轴上方的抛物线上是否存在一点M,过M作MG⊥x轴于点G,使以A、M、G三点为顶点的三角形与△PCA相似?若存在,请求出M点的坐标;否则,请说明理由.
【答案】分析:(1)抛物线与x轴的交点,即当y=0,C点坐标即当x=0,分别令y以及x为0求出A,B,C坐标的值;
(2)四边形ACBP的面积=△ABC+△ABP,由A,B,C三点的坐标,可知△ABC是直角三角形,且AC=BC,则可求出△ABC的面积,根据已知可求出P点坐标,可知AP的长度,以及点B到直线的距离,从而求出△ABP的面积,则就求出四边形ACBP的面积;
(3)假设存在这样的点M,两个三角形相似,根据题意以及上两题可知,∠PAC∠和∠MGA是直角,只需证明
或
即可.设M点坐标,根据题中所给条件可求出线段AG,CA,MG,CA的长度,然后列等式,分情况讨论,求解.
解答:解:(1)令y=0,
得x2-1=0
解得x=±1,
令x=0,得y=-1
∴A(-1,0),B(1,0),C(0,-1);(2分)
(2)∵OA=OB=OC=1,
∴∠BAC=∠ACO=∠BCO=45°.
∵AP∥CB,
∴∠PAB=45°.
过点P作PE⊥x轴于E,则△APE为等腰直角三角形,
令OE=a,则PE=a+1,
∴P(a,a+1).
∵点P在抛物线y=x2-1上,
∴a+1=a2-1.
解得a1=2,a2=-1(不合题意,舍去).
∴PE=3(4分).
∴四边形ACBP的面积S=
AB•OC+
AB•PE
=
×2×1+
×2×3=4;(6分)
(3)假设存在
∵∠PAB=∠BAC=45°,
∴PA⊥AC
∵MG⊥x轴于点G,
∴∠MGA=∠PAC=90°
在Rt△AOC中,OA=OC=1,
∴AC=
在Rt△PAE中,AE=PE=3,
∴AP=3
(7分)
设M点的横坐标为m,则M(m,m2-1)
①点M在y轴左侧时,则m<-1.

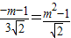
(ⅰ)当△AMG∽△PCA时,有
.
∵AG=-m-1,MG=m2-1.
即
解得m1=-1(舍去)m2=
(舍去).
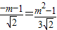
(ⅱ)当△MAG∽△PCA时有
,
即
.
解得:m=-1(舍去)m2=-2.
∴M(-2,3)(10分).
②点M在y轴右侧时,则m>1

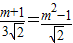
(ⅰ)当△AMG∽△PCA时有
∵AG=m+1,MG=m2-1
∴
解得m1=-1(舍去)m2=
.
∴M(
,
).
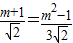
(ⅱ)当△MAG∽△PCA时有
,
即
.
解得:m1=-1(舍去)m2=4,
∴M(4,15).
∴存在点M,使以A、M、G三点为顶点的三角形与△PCA相似
M点的坐标为(-2,3),(
,
),(4,15).(13分)
点评:考查抛物线与数轴交点求解问题,以及抛物线与三角形,四边形之间关系转换问题,相似三角形问题,要特别注意在第三问时要分情况讨论.
(2)四边形ACBP的面积=△ABC+△ABP,由A,B,C三点的坐标,可知△ABC是直角三角形,且AC=BC,则可求出△ABC的面积,根据已知可求出P点坐标,可知AP的长度,以及点B到直线的距离,从而求出△ABP的面积,则就求出四边形ACBP的面积;
(3)假设存在这样的点M,两个三角形相似,根据题意以及上两题可知,∠PAC∠和∠MGA是直角,只需证明
解答:解:(1)令y=0,
得x2-1=0
解得x=±1,
令x=0,得y=-1
∴A(-1,0),B(1,0),C(0,-1);(2分)
(2)∵OA=OB=OC=1,
∴∠BAC=∠ACO=∠BCO=45°.
∵AP∥CB,
∴∠PAB=45°.
过点P作PE⊥x轴于E,则△APE为等腰直角三角形,
∴P(a,a+1).
∵点P在抛物线y=x2-1上,
∴a+1=a2-1.
解得a1=2,a2=-1(不合题意,舍去).
∴PE=3(4分).
∴四边形ACBP的面积S=
=
(3)假设存在
∵∠PAB=∠BAC=45°,
∴PA⊥AC
∵MG⊥x轴于点G,
∴∠MGA=∠PAC=90°
在Rt△AOC中,OA=OC=1,
∴AC=
在Rt△PAE中,AE=PE=3,
∴AP=3
设M点的横坐标为m,则M(m,m2-1)
①点M在y轴左侧时,则m<-1.
(ⅰ)当△AMG∽△PCA时,有
∵AG=-m-1,MG=m2-1.
即
解得m1=-1(舍去)m2=
(ⅱ)当△MAG∽△PCA时有
即
解得:m=-1(舍去)m2=-2.
∴M(-2,3)(10分).
②点M在y轴右侧时,则m>1
(ⅰ)当△AMG∽△PCA时有
∵AG=m+1,MG=m2-1
∴
解得m1=-1(舍去)m2=
∴M(
(ⅱ)当△MAG∽△PCA时有
即
解得:m1=-1(舍去)m2=4,
∴M(4,15).
∴存在点M,使以A、M、G三点为顶点的三角形与△PCA相似
M点的坐标为(-2,3),(
点评:考查抛物线与数轴交点求解问题,以及抛物线与三角形,四边形之间关系转换问题,相似三角形问题,要特别注意在第三问时要分情况讨论.
练习册系列答案
相关题目