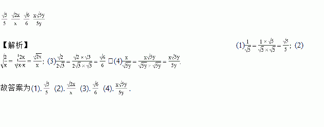
题目内容
计算下列各式,使得结果的分母中不含有二次根式:
(1)_______(2)_________(3)__________(4)__________
一辆汽车在行驶过程中,路程y (千米)与时间x (小时)之间的函数关系如图6所示.当0≤x≤1时,y关于x的函数关系式为y=60x,那么当1≤x≤2时,y关于x的函数关系式为 .
小明从家里出发到超市买东西,再回到家,他离家的距离y(千米)与时间t(分钟)的关系如图所示.请你根据图象回答下列问题:
(1)小明家离超市的距离是 千米;
(2)小明在超市买东西时间为 小时;
(3)小明去超市时的速度是 千米/小时.
如果A、B两人在一次百米赛跑中,路程s(米)与赛跑的时间t(秒)的关系如图所示,则下列说法正确的是( )
A .A比B先出发 B.A、B两人的速度相同 C.A先到达终点 D.B比A跑的路程多
计算:(1); (2);(3); (4).
成立的条件是( ).
A. x<1且x≠0 B. x>0且x≠1 C. 0<x≤1 D. 0<x<1
比较大小:(1) ______6 ; (2) _______; (3) ______.
下列各曲线表示的y与x的关系中,y不是x的函数的是( )
A. B. C. D.