题目内容
如果一元二次方程x2-3x-1=0的两根为x1、x2,那么x1+x2=( )
A. -3 B. 3 C. -1 D. 1
如图所示,在平行四边形中, 与相交于点, 为的中点,连接并延长交于点,则的值为( ).
A. B. C. D.
计算:(1)(x3)4·x2;(2);
(3);(4)
如图,如果∠AOC=∠BOD,则∠AOB与∠DOC的大小关系是( )
A. ∠AOB>∠DOC B. ∠AOB<∠DOC
C. ∠AOB=∠DOC D. 无法比较
已知关于x的一元二次方程x2+2x+m=0有实数根,则m的取值范围是 .
一元二次方程x2+4x-3=0的两根为、,则•的值是( )
A. 4 B. -4 C. 3 D. -3
设x1,x2是一元二次方程-2x-3=0的两根,则 =( )
A. 6 B. 8 C. 10 D. 12
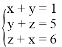
三元一次方程组的解是( )
在五边形ADBCE中,∠ADB=∠AEC=90°,∠DAB=∠EAC,M、N、O分别为AC、AB、BC的中点.
(1)求证:△EMO≌△OND;
(2)若AB=AC,且∠BAC=40°,当∠DAB等于多少时,四边形ADOE是菱形,并证明.