题目内容
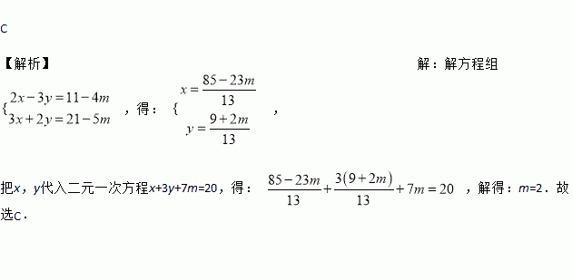
关于x、y的方程组的解也是二元一次方程x+3y+7m=20的解,则m的值是( )
A. 0 B. 1 C. 2 D.
如图,在中,为上一点,那么添加下列一个条件后,仍无法判定的是( ).
A. B. C. D.
在△ABC中,∠C=90°,∠B=60°,AC=3,以C为圆心,r为半径作⊙C,如果点B在圆内,而点A在圆外,那么r的取值范围是_________
如图,在数学活动课中,小敏为了测量校园内旗杆AB的高度,站在教学楼的C处测得旗杆底端B的俯角为45°,测得旗杆顶端A的仰角为30°,若旗杆与教学楼的距离为9m,则旗杆AB的高度是______m(结果保留根号).
用适当的方法解下列方程组:
(1)解方程组;(2).
有一个两位数,减去它各位数字之和的3倍,值为23,除以它各位数字之和商是5,余数是1,则这样的两位数( )
A. 不存在 B. 是唯一的
C. 有两个 D. 有无数解
如图,点O是线段AB上的一点,OA=OC,OD平分∠AOC交AC于点D,OF平分∠COB,CF⊥OF于点F.
(1)求证:四边形CDOF是矩形;
(2)当∠AOC多少度时,四边形CDOF是正方形?并说明理由.
有一批圆心角为90o,半径为3的扇形下脚料,现利用这批材料截取尽可能大的正方形材料,如图有两种截取方法:
方法一:如图1所示,正方形OPQR的顶点P、Q、R均在扇形的边界上;
方法二:如图2所示,正方形顶点C、D、E、F均在扇形边界上.
试分别求这两种截取方法得到的正方形面积,并说明哪种截取方法得到的正方形面积更大.
一个正数的算术平方根与立方根是同一个数,则这个数是 .