题目内容
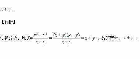
化简= .
把方程(x-)(x+)+(2x-1)2=0化为一元二次方程的一般形式是( )
A. 5x2-4x-4=0 B. x2-5=0 C. 5x2-2x+1=0 D. 5x2-4x+6=0
若方程的一个根为1,则=________,另一个根为________。
如图,已知菱形ABCD的边长为3,∠ABC=60°,则对角线AC的长是( )
A. 12 B. 9 C. 6 D. 3
(11·贵港)若记y=f(x)=,其中f(1)表示当x=1时y的值,即f(1)=
=;f()表示当x=时y的值,即f()==;…;则f(1)+f(2)+f()+f(3)
+f()+…+f(2011)+f()=_ ▲ .
化简的结果是( )
A. 0 B. 2 C. -2 D. 2或-2
下列计算正确的是( )
A. B.
C. D.
某商场以每件30元的价格购进一种商品,试销中发现,这种商品每天的销售量m(件)与每件的销售价x(元)满足一次函数m=162-3x.
(1)写出商场卖这种商品每天的销售利润y(元)与每件的销售价x(元)间的函数关系式;
(2)如果商场要想每天获得最大的销售利润,每件商品的售价定为多少最为合适?最大销售利润为多少?
规定,若,则x为________.