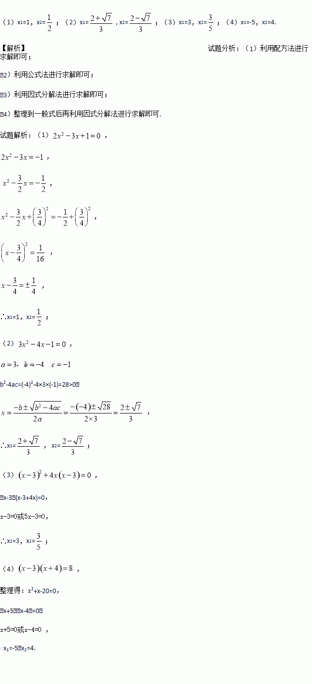
题目内容
解下列方程:(有指定方法必须用指定方法)
(1)(配方法); (2)(公式法)
(3). (4).
化简_________.(结果要保留)
解方程:
(1)4-4(x-3)=2(9-x); (2).
用四舍五入法按要求对0.05019分别取近似值,其中错误的是( )
A. 0.1(精确到0.1) B. 0.05(精确到千分位)
C. 0.05(精确到百分位) D. 0.0502(精确到0.0001)
已知⊙O的直径为10,点A,点B,点C在⊙O上,∠CAB的平分线交⊙O于点D
(1)如图①,若BC为⊙O的直径,AB=6,求AC,BD,CD的长;
(2)如图②,若∠CAB=60°,求BD的长.
如图,AB是⊙O的直径,AB垂直于弦CD,∠BOC=70°,则∠ABD=( )
A. 20° B. 46° C. 55° D. 70°
己知正六边形的边长为2,则它的内切圆的半径为__________.
飞机着陆后滑行的距离s(单位:米)关于滑行的时间t(单位:秒)的函数解析式是s=60t﹣1.5t2,则飞机着陆后从开始滑行到完全停止所用的时间是_____秒.
如图∠B=∠C,AB//DE,EC=ED,求证:△DEC为等边三角形.