搜索
题目内容
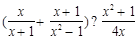
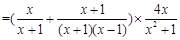
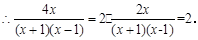
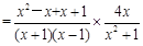
先化简,再求值:
,其中
满足方程
.
试题答案
相关练习册答案
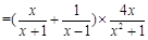
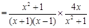
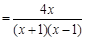
由
x
2
-2
x
-1=0得2
x
=
x
2
-1=(
x
+1)(
x
-1)
解析
练习册系列答案
寒假学习与生活济南出版社系列答案
欢乐寒假福建教育出版社系列答案
智多星寒假生活新疆美术摄影出版社系列答案
寒假天地河北教育出版社系列答案
智乐文化中考备战系列答案
中考妙策33套汇编系列答案
文轩致胜中考系列答案
快乐假期高考状元假期学习方案寒假系列答案
创新学习寒假作业东北师范大学出版社系列答案
寒假零距离系列答案
相关题目
对于试题:“先化简,再求值:
,其x=2”某同学写出了如下解答:
她的解答正确吗?如不正确,请你写出正确解答.
解:
=
=x-3-(x+1)
=x-3+x+1
=2x-2;
当x=2时,原式=2×2-2=2.
有一道题:“先化简,再求值:
,其中
小张同学做题时把“
”错写成了“
”,但他的计算结果也是正确的,请你解释这是怎么回事?
(2006•邵阳)对于试题:“先化简,再求值:
,其x=2”某同学写出了如下解答:
她的解答正确吗?如不正确,请你写出正确解答.
解:
=
=x-3-(x+1)
=x-3+x+1
=2x-2;
当x=2时,原式=2×2-2=2.
(2006•邵阳)对于试题:“先化简,再求值:
,其x=2”某同学写出了如下解答:
她的解答正确吗?如不正确,请你写出正确解答.
解:
=
=x-3-(x+1)
=x-3+x+1
=2x-2;
当x=2时,原式=2×2-2=2.
对于试题:“先化简,再求值:
,其x=2”某同学写出了如下解答:
解:
=
=x-3-(x+1)
=x-3+x+1
=2x-2
当x=2时,原式=2×2-2=2
她的解答正确吗?如不正确,请你写出正确解答。
关 闭
试题分类
高中
数学
英语
物理
化学
生物
地理
初中
数学
英语
物理
化学
生物
地理
小学
数学
英语
其他
阅读理解答案
已回答习题
未回答习题
题目汇总
试卷汇总
练习册解析答案