题目内容
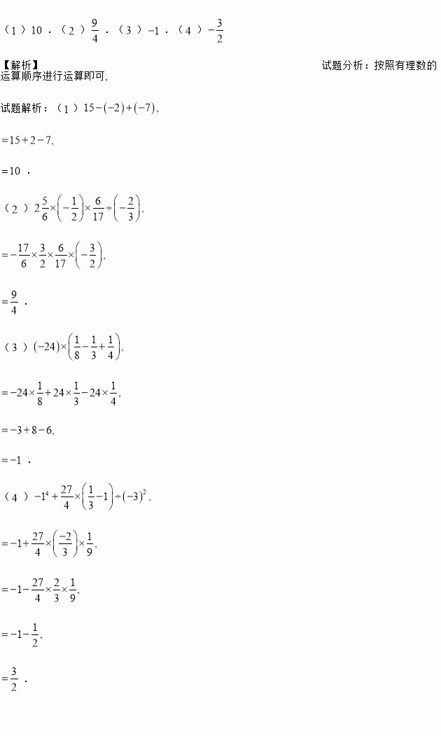
计算:
(). ().
下列选项中,不能用来证明勾股定理的是( )
A. B. C. D.
共享单车为市民出行带来了方便,某单车公司第一个月投放辆单车,计划第三个月投放单车数量比第一个月多辆.设该公司第二、三两个月投放单车数量的月平均增长率为,则所列方程为__________.
已知是整数,则正整数k的最小值为( )
A. 1 B. 2 C. 4 D. 8
小明有张写着不同数字的卡片,请你按要求选择卡片,完成下列问题:
()从中选择两张卡片,使这两张卡片上数字的乘积最大.
(2)从中选择两张卡片,使这两张卡片上数字相除的商最小.
(3)从中选择张卡片,每张卡片上数字只能用一次,选择加、减、乘、除中的适当方未能(可加括号),使其运算结果为,写出运算式子.(写出一种即可)
多项式的次数是_________,常数项是_________.
下列各式结果为正数的是( ).
如图,在△ABC中,∠1是它的外角,E为边AC上一点,延长BC到D,连接DE,则∠1__________∠2(填“>”, “<”, “=”)
若一元二次方程有两个不相等的实数根,则k的取值范围是 .