题目内容
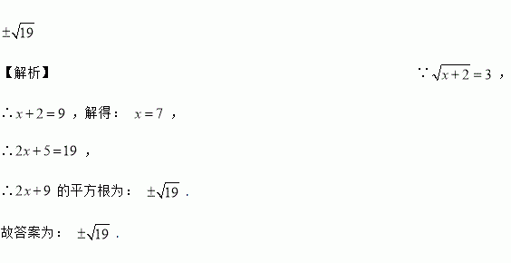
若=3,求2x+5的平方根_____.
当x是怎样的实数时,下列各式在实数范围内有意义?
(1) ;
(2) ;
(3) ;
(4) ;
(5)
若实数m,n满足(m-1)2+=0,则(m+n)5=________.
求下列各数的算术平方根:
(1)144; (2)1;
(3) ; (4)0.
25的算术平方根是( )
A.5 B.-5 C.±5 D.
求下列各式的值:
(1) ; (2)- ; (3)±.
填表:
a
2
-2
±
±9
±15
a2
___
____
__
求下列各数的平方根与算术平方根:
(1)(-5)2; (2)0; (3)-2; (4) .
如图所示,A′B′∥AB,B′C′∥BC,C′A′∥CA,图中有_______个平行四边形.