题目内容
在坐标平面内,半径为R的⊙O与x轴交于点D(1,0)、E(5,0),与y轴的正半轴相切于点B.点A、B关于x轴对称,点P(a,0)在x的正半轴上运动,作直线AP,作EH⊥AP于H.(1)求圆心C的坐标及半径R的值;
(2)△POA和△PHE随点P的运动而变化,若它们全等,求a的值;若给定a=6,试判定直线AP与⊙C的位置关系(要求说明理由).
【答案】分析:(1)由题意知圆心C点的横坐标为DE中点的坐标,纵坐标和B点纵坐标相等,用切割线定理求出OB的长即可,C点的横坐标等于半径;
(2)因为△POA≌△PHE,OE的长为直角边和斜边的和,而OE的长已求,用OP表示PE,并且OA=OB.
根据勾股定理求出OP的长即为a的值,过A作圆的切线为标准证明AP与⊙C的关系.
解答:
解:(1)连接BC,则BC⊥y轴.
取DE中点M,连CM,则CM⊥x轴.
∵OD=1,OE=5,
∴OM=3.
∵OB2=OD•OE=5,
∴OB=
.
∴圆心C
,半径R=3.
(2)∵△POA≌△PHE,
∴PA=PE.
∵OA=OB=
,OE=5,OP=a,
∴PA2=a2+5,
PE2=(5-a)2,
∴a2+5=(a-5)2,
a=2.
(3)解法一:
过点A作⊙C的切线AT(T为切点),交x轴正半轴于Q.
设Q(m,0),则QE=m-5,QD=m-1,
QT=QA-AT=QA-AB=
.
由QT2=QE•QD,
得
=(m-5)(m-1),
2
=3m+10,
11m2-60m=0.
∵m>0,
∴m=
.
∵a=6,点P(6,0),在点Q
的右侧,
∴直线AP与⊙C相离.
解法二:
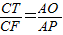
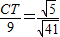
设射线AP、BC交于点F,作CT⊥AF于T.
∵△AOP∽△CTF,
∴
.
而AO=
,AP=
,
CF=BF-BC=12-3=9,
∴
,
CT=
=3=R,
∴直线AP与⊙C相离.
点评:考查了直线与圆的位置关系;能够根据全等,相似三角形,勾股定理求线段等多个知识点.
(2)因为△POA≌△PHE,OE的长为直角边和斜边的和,而OE的长已求,用OP表示PE,并且OA=OB.
根据勾股定理求出OP的长即为a的值,过A作圆的切线为标准证明AP与⊙C的关系.
解答:
取DE中点M,连CM,则CM⊥x轴.
∵OD=1,OE=5,
∴OM=3.
∵OB2=OD•OE=5,
∴OB=
∴圆心C
(2)∵△POA≌△PHE,
∴PA=PE.
∵OA=OB=
∴PA2=a2+5,
PE2=(5-a)2,
∴a2+5=(a-5)2,
a=2.
(3)解法一:
过点A作⊙C的切线AT(T为切点),交x轴正半轴于Q.
设Q(m,0),则QE=m-5,QD=m-1,
QT=QA-AT=QA-AB=
由QT2=QE•QD,
得
2
11m2-60m=0.
∵m>0,
∴m=
∵a=6,点P(6,0),在点Q
∴直线AP与⊙C相离.
解法二:
设射线AP、BC交于点F,作CT⊥AF于T.
∵△AOP∽△CTF,
∴
而AO=
CF=BF-BC=12-3=9,
∴
CT=
∴直线AP与⊙C相离.
点评:考查了直线与圆的位置关系;能够根据全等,相似三角形,勾股定理求线段等多个知识点.
练习册系列答案
相关题目