搜索
题目内容
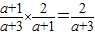
先化简,再求值
,其中a=2sin60°-3.
试题答案
相关练习册答案
【答案】
分析:
分别化简原式和a,再代入计算.
解答:
解:原式=
,
当a=2sin60°-3=2×
时,
原式=
.
点评:
此题关键是熟练掌握分式的化简求值及特殊角的三角函数值.
练习册系列答案
寒假作业海燕出版社系列答案
寒假作业本大象出版社系列答案
寒假作业江西教育出版社系列答案
愉快的寒假南京出版社系列答案
优化学习寒假20天系列答案
优等生快乐寒假云南人民出版社系列答案
优等生寒假作业云南人民出版社系列答案
赢在假期抢分计划寒假合肥工业大学出版社系列答案
赢在假期期末加寒假合肥工业大学出版社系列答案
赢在寒假期末冲刺王云南科技出版社系列答案
相关题目
21、先化简,再求值:其中a=1,b=-2,-a
2
b+(3ab
2
-a
2
b)-2(2ab
2
-a
2
b)
(
a
a-b
+
a
2
-
a
2
+2ab-
b
2
) ÷(
a
a+b
+
a
b
2
-
a
2
)+1
先化简,再求值:其中a=1.5,b=-1.
用心解一解.
(1)计算:
-21.6+
3
5
-7.4-(-
2
5
)
(2)计算:
-
2
2
-(-5
1
2
)×(-
4
11
)+(-2
)
3
÷(-8+6)
(3)先化简,再求值,其中a=-5,b=5,求:2(a
2
b+ab)-2(a
2
b-1)-2ab-2
(4)解方程:
2x+1
3
-
5x-1
6
=1
.
先化简,再求值.其中a=
1
3
,b=-2;2(3a
2
-5b)-[-3(a
2
-3b)].
先化简,再求值,其中x=-1,y=0.5,则(x-5y)(-x-5y)-(-x+5y)
2
=
-7
-7
.
关 闭
试题分类
高中
数学
英语
物理
化学
生物
地理
初中
数学
英语
物理
化学
生物
地理
小学
数学
英语
其他
阅读理解答案
已回答习题
未回答习题
题目汇总
试卷汇总
练习册解析答案