搜索
题目内容
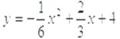
如图,直角坐标系中一条抛物线经过网格点A、B、C,其中,B点坐标为
,则该抛物线的关系式__________.
试题答案
相关练习册答案
练习册系列答案
随堂10分钟系列答案
集优方案系列答案
仁爱英语同步练习册系列答案
巴蜀学案同步导学系列答案
填充图册中国地图出版社系列答案
第1考卷课时卷系列答案
学习实践园地系列答案
书立方吉林专版系列答案
奇迹课堂系列答案
初中伴你学习新课程系列答案
相关题目
16、如图,直角坐标系中一条圆弧经过网格点A,B,C,其中B点坐标为(4,4),则该圆弧所在圆的圆心坐标为
(2,0)
.
如图,直角坐标系中一条抛物线经过网格点A、B、C,其中B点坐标为(4,4),则该抛物线的关系式
.
如图,直角坐标系中一条圆弧经过网格点A、B、C,其中B点坐标为(4,4),
(1)在图上作出该圆弧所在圆的圆心,该圆弧所在圆的圆心坐标为
;
(2)求出该圆弧所在圆的半径.
4、如图,直角坐标系中一条圆弧经过网格点A、B、C,其中,B点坐标为(4,4),则该圆弧所在圆的圆心坐标为( )
A、(2,1)
B、(2,2)
C、(2,0)
D、(2,-1)
如图,直角坐标系中一条圆弧经过网格点A、B、C,则该圆弧所在圆的圆心坐标为( )
A.(2,0)
B.(2,1)
C.(1,2)
D.无法确定
关 闭
试题分类
高中
数学
英语
物理
化学
生物
地理
初中
数学
英语
物理
化学
生物
地理
小学
数学
英语
其他
阅读理解答案
已回答习题
未回答习题
题目汇总
试卷汇总
练习册解析答案