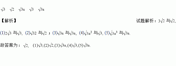
题目内容
在横线上填出一个最简单的因式,使得它与所给二次根式相乘的结果为有理式,如:
与![]()
(1)
与______; (2)
与______;
(3)
与______; (4)
与______; (5)
与______.
练习册系列答案
相关题目
题目内容
在横线上填出一个最简单的因式,使得它与所给二次根式相乘的结果为有理式,如:
与![]()
(1)
与______; (2)
与______;
(3)
与______; (4)
与______; (5)
与______.