题目内容
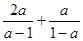
先化简,再求值:(
)÷a,其中a=![]()
【答案】
.
【解析】
试题分析:根据分式混合运算的计算方法,先乘除,后加减,有括号的先算括号,能约分的要约分,把分式进行化简变形,然后把a=
代入求值即可.
试题解析:
(
)÷a
=![]()
=
.
当a=
代入,原式=
=
.
考点:分式的混合运算.
练习册系列答案
相关题目