题目内容
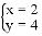
下列方程组是二元一次方程组的是 ( )
A. B. C. D.
已知点P(2m+4,m-1),请分别根据下列条件,求出点P的坐标.
(1)点P在x轴上;
(2)点P的纵坐标比横坐标大3;
(3)点P在过点A(2,-4)且与y轴平行的直线上.
下列不等式中,一元一次不等式有
① ② ③
④ ⑤
A. 个 B. 个 C. 个 D. 个
如图,在中,点、分别在、上,且//,,,则∠ABC=________.
如图所示,的度数为( )
为深化义务教育课程改革,满足学生的个性化学习需求,某校就“学生对知识拓展,体育特长、艺术特长和实践活动四类选课意向”进行了抽样调查(每人选报一类),绘制了如图所示的两幅不完整的统计图,请根据图中信息,解答下列问题:
(1)求扇形统计图中m的值;
(2)补全条形统计图;
(3)已知该校有800名学生,计划开设“实践活动类”课程每班安排人,问学校开设多少个“实践活动类”课程的班级比较合理?
若a、b为正整数,且,则a+b的最小值为_______.
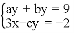
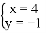
解关于x,y的方程组时,甲正确地解出,乙因为把c抄错了,误解为,求a,b,c的值.
不等式组的解集是( )
A. x>4 B. x≤3 C. 3≤x<4 D. 无解