题目内容
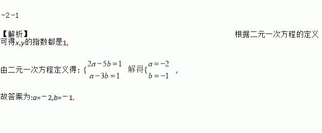
若2x2a-5b+ya-3b=0是二元一次方程,则a=______,b=______.
如图,在Rt△ABC中,∠ACB=90°,CD⊥AB,垂足为D,AB=c,∠A=α,则CD长为( )
A. c•sin2α B. c•cos2α C. c•sinα•tanα D. c•sinα•cosα
因式分【解析】x3-xy2=________________.
甲、乙两人同解方程组 时,甲看错了方程①中的a,解得,乙看错了②中的b, ,试求的值.
若2x5ayb+4与-x1-2by2a是同类项,则b=________.
如果│x+y-1│和2(2x+y-3)2互为相反数,那么x,y的值为( )
A. B. C. D.
如图,某建筑物BC顶部有一旗杆AB,且点A、B、C在同一条直线上,小红在D处观测旗杆顶部A的仰角为47°,观测旗杆底部B的仰角为42°已知点D到地面的距离DE为1.56m,EC=21m,求旗杆AB的高度和建筑物BC的高度(结果保留小数后一位).(参考数据:tan47°≈1.07,tan42°≈0.90)
如图,在Rt△ACB中,∠ACB=90°,∠A=35°,点D是AB上一点,将此△ABC沿CD折叠,使B点落在AC边上的点B′处,则∠ADB′等于( )
A. 35° B. 30° C. 25° D. 20°
现在的时间是9时20分,此时钟面上时针与分针夹角的度数是_____度.