题目内容
计算(2x﹣1)(1﹣2x)结果正确的是( )
A. 4x2﹣1 B. 1﹣4x2 C. ﹣4x2+4x﹣1 D. 4x2﹣4x+1
把4x3-x分解因式,结果为_________.
下列各式从左到右,是因式分解的是( )。
A.(y-1)(y+1)=-1 B.
C.(x-2)(x-3)=(3-x)(2-x) D.
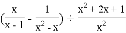
化简:,并从,0,1,2中选择一个合适的数求代数式的值.
如图,在⊙O中,点A、B、C在⊙O上,且∠ACB=110°,则∠α= .
如图,在?ABCD中,AD=8,点E,F分别是BD,CD的中点,则EF等于( )
A. 2 B. 3 C. 4 D. 5
如图,AB是⊙O的切线,B为切点,圆心O在AC上,∠A=30°,D为的中点.
(1)求证:AB=BC;
(2)试判断四边形BOCD的形状,并说明理由.
(-)2002·(+)2003=______.
下列图案中既是轴对称图形,又是中心对称图形的是( )
A. B. C. D.