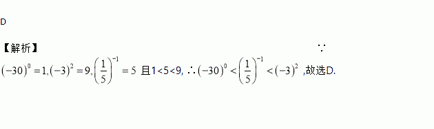
题目内容
将(-30)0,(-3)2,(
)-1这三个数按从小到大的顺序排列,正确的结果是( )
A. (
)-1<(-30)0<(-3)2 B. (-30)0<(-3)2<(
)-1
C. (-3)2<(
)-1<(-30)0 D. (-30)0<(
)-1<(-3)2
练习册系列答案
相关题目
题目内容
将(-30)0,(-3)2,(
)-1这三个数按从小到大的顺序排列,正确的结果是( )
A. (
)-1<(-30)0<(-3)2 B. (-30)0<(-3)2<(
)-1
C. (-3)2<(
)-1<(-30)0 D. (-30)0<(
)-1<(-3)2