题目内容
如图,在□ABCD中,E、F分别是AB、CD的中点.
(1)求证:四边形EBFD为平行四边形;
(2)对角线AC分别与DE、BF交于点M、N.求证:△ABN≌△CDM.
为了美化环境,建设宜居成都,我市准备在一个广场上种植甲、乙两种花卉.经市场调查,甲种花卉的种植费用(元)与种植面积之间的函数关系如图所示,乙种花卉的种植费用为每平方米100元.
(1)直接写出当和时,与的函数关系式;
(2)广场上甲、乙两种花卉的种植面积共,若甲种花卉的种植面积不少于,且不超过乙种花卉种植面积的2倍,那么应该怎样分配甲、乙两种花卉的种植面积才能使种植费用最少?最少总费用为多少元?
如图,在中,,的半径为3,则图中阴影部分的面积是( )
A. B. C. D.
2018年5月21日,西昌卫星发射中心成功发射探月工程嫦娥四号任务“鹊桥号”中继星,卫星进入近地点高度为200公里、远地点高度为40万公里的预定轨道.将数据40万用科学记数法表示为( )
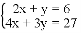
《九章算术》是我国东汉初年编订的一部数学经典著作.在它的“方程”一章里,一次方程组是由算筹布置而成的.《九章算术》中的算筹图是竖排的,为看图方便,我们把它改为横排,如图1、图2.图中各行从左到右列出的算筹数分别表示未知数x,y的系数与相应的常数项.把图1所示的算筹图用我们现在所熟悉的方程组形式表述出来,就是,类似地,图2所示的算筹图我们可以表述为( )
A. B.
C. D.
一宾馆有二人间、三人间、四人间三种客房供游客租住,某旅行团15人准备同时租用这三种客房共5间,如果每个房间都住满,租房方案有( )
A. 4种 B. 3种 C. 2种 D. 1种
如图,△ABC是⊙O的内接三角形,AD是⊙O的直径,∠ABC=50°,则∠CAD=________ .
初一学生小丽、小杰为了了解本校初二学生每周上网时间,各自在本校进行了抽样调查.小丽调查了初二电脑爱好者中4名学生每周上网的时间;小杰从全体初二学生名单中随机抽取了40名学生,调查他们每周上网的时间.你认为哪位学生抽取的样本具有代表性?说说你的理由.