题目内容
(1)︳-3(2)先化简,再求值.
【答案】分析:(1)利用绝对值和特殊角的三角函数及负指数幂和0指数幂进行计算.
(2)先计算括号里的,再把分子分母分解因式,约分即可.
解答:(1)解:原式=3
-
-2
-
+1 (3分)
=
;(5分)
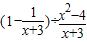
(2)解:
=
(1分)
=
(3分)
=
. (4分)
当x=3时,原式=1. (5分)
点评:本题主要考查了实数的运算及分式的化简求值.
(2)先计算括号里的,再把分子分母分解因式,约分即可.
解答:(1)解:原式=3
=
(2)解:
=
=
=
当x=3时,原式=1. (5分)
点评:本题主要考查了实数的运算及分式的化简求值.
练习册系列答案
相关题目
下列方程组中,与方程组
的解不同的方程组是( )
|
A、
| |||||
B、
| |||||
C、
| |||||
D、
|
二元二次方程组
的一个解是( )
|
A、
| |||||
B、
| |||||
C、
| |||||
D、
|