搜索
题目内容
先化简后求值
已知x=2009,y=2010,求代数式
的值.
试题答案
相关练习册答案
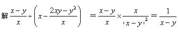
当x=2009,y=2010时
原式=
=
=-1
练习册系列答案
君杰文化假期课堂寒假作业系列答案
寒假学习与生活济南出版社系列答案
欢乐寒假福建教育出版社系列答案
智多星寒假生活新疆美术摄影出版社系列答案
寒假天地河北教育出版社系列答案
智乐文化中考备战系列答案
中考妙策33套汇编系列答案
文轩致胜中考系列答案
快乐假期高考状元假期学习方案寒假系列答案
创新学习寒假作业东北师范大学出版社系列答案
相关题目
先化简后求值
(1)(a-b+
4ab
a-b
)(a+b-
4ab
a+b
),其中a=
3
2
,b=
1
2
(2)已知x=2009,y=2010,求代数式
x-y
x
÷(x-
2xy-
y
2
x
)
的值.
先化简后求值:
(1)2(a
2
b+ab
2
)-(a
2
b-1)-2ab
2
,其中,a=-1,b=2
(2)已知x-3y=6,xy=3,求代数式-2x+2[6y-(x-3xy)]-3xy的值.
先化简后求值,已知
(x+2
)
2
+|y-
1
2
|=0
,化简多项式4(x
2
y+xy
2
)-2[(x
2
y-1)+
3
2
xy
2
]-2,并求出其值.
化简或先化简后求值
①x
2
+2x+3(x
2
-
2
3
x)
②已知|a+3|+(b-
1
2
)
2
=0,求代数式(2a
2
b+2ab
2
)-[2(a
2
b-1)+3ab
2
+2]的值.
关 闭
试题分类
高中
数学
英语
物理
化学
生物
地理
初中
数学
英语
物理
化学
生物
地理
小学
数学
英语
其他
阅读理解答案
已回答习题
未回答习题
题目汇总
试卷汇总
练习册解析答案