题目内容

关于x的一元二次方程为(m-1)x2-2mx+m+1=0

(1)求出方程的根;

(2)m为何整数时,此方程的两个根都为正整数?

 

【答案】

(1);(2)m=2或m=3

【解析】

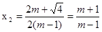
试题分析:(1)、△=>0,所以此方程有两个不相等的实数根:,

(2)、当m为整数时,m-1与m+1为连续奇数或连续偶数,若方程的两个根都为正整数,则m+1能被m—1整除,这样的连续奇数为1、3,连续偶数为2、4,所以m=2或m=3.

试题解析:(1)、方程根的判别式△=>0,

所以此方程有两个不相等的实数根:,

(2)、∵m为整数,(m+1)-(m-1)=2

∴m-1与m+1为连续奇数或连续偶数

又∵方程的两个根都为正整数

∴m+1能被m—1整除

当m-1与m+1为连续奇数时,m-1=1,m+1=3,此时,m=2;

当m-1与m+1为连续偶数时,m-1=2,m+1=4,此时,m=3;

综上所述,m=2或m=3.

考点:用公式法解一元二次方程.

 

练习册系列答案
相关题目

违法和不良信息举报电话:027-86699610 举报邮箱:58377363@163.com

精英家教网