题目内容
(毕节中考改编)若-2amb4与5an+2b2m+n可以合并成一项,则mn的值是( )
A. 2 B. 0 C. -1 D. 1
在电影院内,如果将“12排8号”记作(12,8),那么“5排9号”怎样表示?(23,15)表示的含义是什么?( )
A. (9,5);23排15号 B. (5,9);23排15号
C. (9,5);15排23号 D. (5,9);15排23号
自来水公司为某小区A改造供水系统,如图沿路线AO铺设管道和BO主管道衔接(AO⊥BO),路线最短,工程造价最低,根据是_____.
已知关于x,y的方程组与有相同的解,求a,b的值.
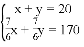
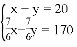
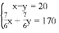
成渝路内江至成都段全长170 km,一辆小汽车和一辆客车同时从内江、成都两地相向开出,经过h相遇,相遇时,小汽车比客车多行驶20 km.设小汽车和客车的平均速度分别为x km/h和y km/h,则下列方程组正确的是( )
A. B. C. D.
解方程:(2y﹣3)2﹣64=0;
已知(x﹣1)2=3,则x=__.
一根蜡烛长20 cm,蜡烛的燃烧速度是5 cm/s.
(1)写出蜡烛的剩余长度h与燃烧时间t之间的函数关系式;
(2)画出这个函数的图象.
若函数y=则当函数值y=8时,自变量x的值是( )
A. ± B. 4 C. ±或4 D. 4或-